










Description
16kVA/11.2kW
Input: Output:
Batteries: Lead Acid - Replacement Battery Cartridge SYBT5
Communication Management: DB-9 RS-232, RJ-45 10/100 Base-T, Smart-Slot
Warranty: 2 years repair or replace
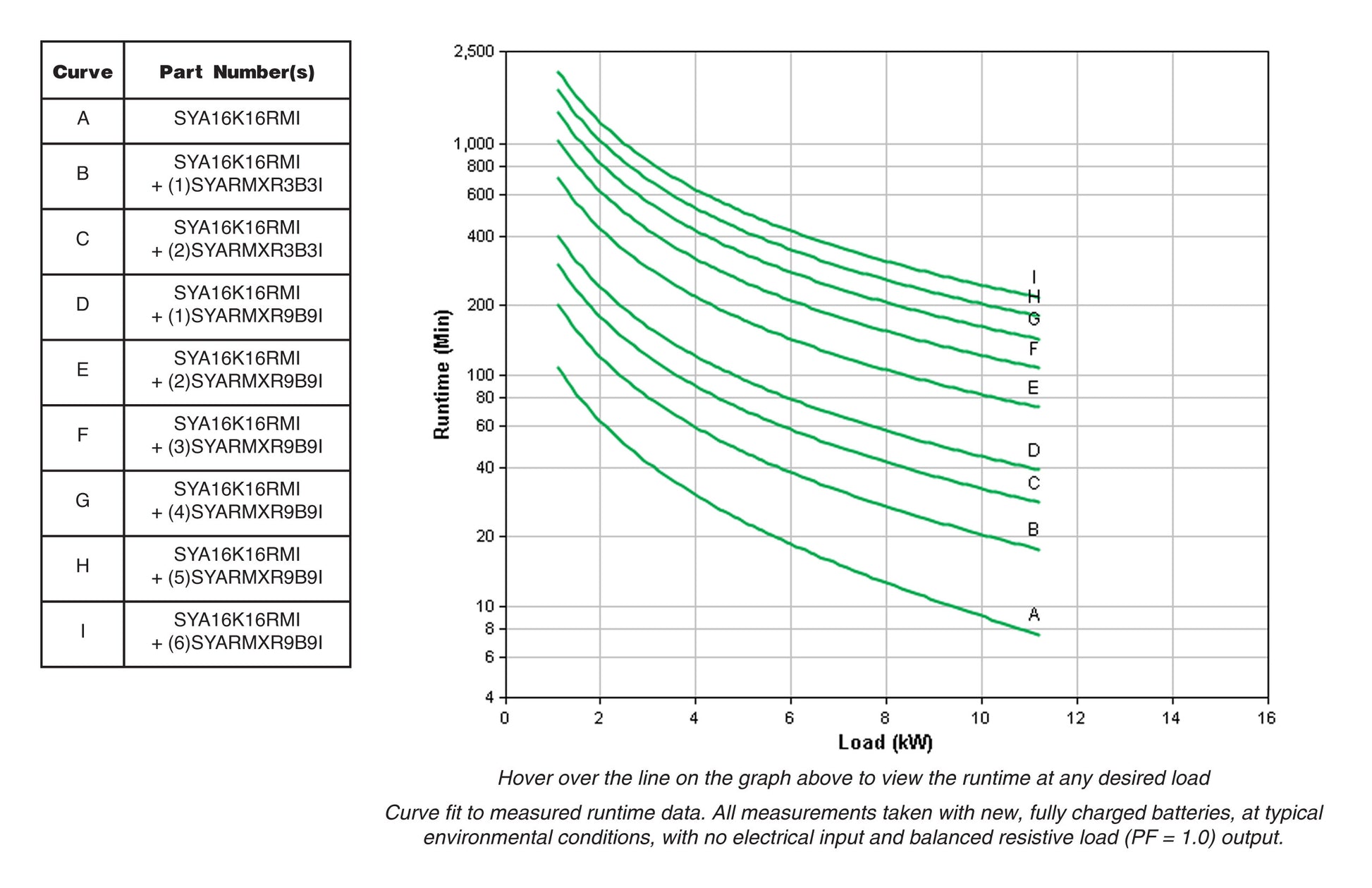
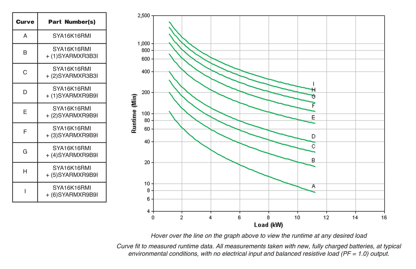
Runtime: Extended Runtime
Form Factor: Rack/Tower
Wiring Type: Single Phase
Dimensions: 838 x 472 x 688 (mm)
Part Number: SYA16K16RMI